近期,我校物质学院郭艳峰、刘健鹏研究组与合作者在磁性拓扑材料探索方向取得重要进展,相关成果以题为“Multiple magnetic topological phases in bulk van der Waals crystal MnSb4Te7”发表于国际著名期刊Physical Review Letters,并被选为编辑推荐论文(Editor’s Suggestion)。

在一些磁性材料中,其磁结构的自旋方向能够被外磁场调控,当自旋-轨道耦合较强时,自旋结构的改变能够有效传递给电子,从而可能导致电子结构变化甚至相变。这种外磁场可控电子结构变化或相变为设计灵活可控的自旋电子学器件提供了极大便利。在当前凝聚态物理重要研究领域-拓扑物理学中,磁性与非平庸拓扑能带之间的关联已经成为一个重要但又富有挑战性的研究课题,迄今尚未有全局的清晰图像,但是它们之间的相互作用导致的丰富拓扑物性为探索新物理与新应用提供了巨大契机,吸引了凝聚态物理学家们广泛的研究兴趣。
近几年一个非常重要的发现是,在拓扑绝缘体中掺入磁性杂质,可以依靠自发磁化产生量子反常霍尔效应,与同样无耗散传导的量子霍尔效应及自旋量子霍尔效应相比,其不需要外加磁场的优点对于实际应用具有重要价值,有望为延续摩尔定律提供一个选择,因此被称为“诺贝尔奖级”的研究工作。然而,磁杂质掺杂的一个弊端是会带来很强的无序及电、磁学性质的不均匀性,从而导致极低的量子反常霍尔效应实现温度,或干扰一些精细拓扑物性的测量,如马约拉纳零能模等的研究。因此,探索并研究具有确定化学计量比的内禀磁性拓扑材料具有重要的科学及实用意义。
层状内禀反铁磁拓扑绝缘体 (MnBi2Te4)(Bi2Te3)m (m = 0,…, 6) 家族是近两年本征磁性拓扑材料中的明星。然而,目前对于该体系材料呈现的量子反常霍尔效应及轴子绝缘态等重要物性并未得到普遍验证,尚存争议。此外,对于自旋极化铁磁态拓扑性质的研究报道也十分有限。针对这些具有挑战性但是重要的问题,需要更多的研究以获得进一步的实验证实或寻找更多有用线索。

图1:MnSb2Te4(上)及MnSb4Te7(下)晶体结构及其磁性表征结果。
物质学院郭艳峰课题组基于新磁性拓扑材料探索与高品质单晶生长,致力于外磁场调控拓扑相变研究,以期理解磁性与非平庸能带拓扑之间的关联,并探索新颖的拓扑物性,近几年取得了系列成果。近期,该课题组成功制备了与(MnBi2Te4)(Bi2Te3)m 具有相同晶体结构及基态磁结构的(MnSb2Te4)(Sb2Te3)n(n = 0, 1)体系高品质单晶样品。在对n = 0成员MnSb2Te4的研究成果基础上,郭艳峰课题组基于制备的层间耦合减弱的n = 1成员MnSb4Te7,与物质学院刘健鹏课题组、中科院上海微系统所沈大伟研究员课题组合作,利用磁输运、第一性原理计算及角分辨光电子能谱开展了系统研究,获得了重要发现。

图2: MnSb4Te7能带结构计算结果

图3: MnSb4Te7能带结构测量结果
第一,MnSb4Te7在A型反铁磁基态,受时间反演对称及半晶格平移对称性联合保护的轴子绝缘态,亦即Z2反铁磁拓扑绝缘体,具有一个约75 meV的直接带隙(图2a)。该拓扑态为验证MnBi2Te4中轴子绝缘态所表现出的拓扑磁电效应提供了一个新的研究平台。
第二,沿着MnSb4Te7晶体结构的c轴施加外磁场,磁场大于0.2 特斯拉时,Mn离子自旋完全极化,进入铁磁态。非常有趣的是,在铁磁态下无论自旋方向指向,该体系均为受空间反演对称性保护的拓扑不变量Z4= 2的轴子绝缘态,此时能带结构中具有约65 meV的间接带隙(图2b-2d)。这一点与之前MnBi2Te4中报道的必须为反铁磁态且对测量层数有严格要求才能实现拓扑轴子绝缘相不同,MnSb4Te7在块体材料中即可实现并与磁化方向无关,因此提供了一个对磁性状态具有鲁棒性的测量轴子绝缘态拓扑磁电效应更为理想的平台。能带计算表明,费米能级附近的态主要由具有较大自旋-轨道耦合的Sb p 和 Te p 轨道贡献,Mn离子的带有局域磁矩的3d轨道与传导电子通过有效塞曼效应耦合,因此在该材料中实现了自旋-轨道耦合与磁性共存,从而可以实现不同的磁性拓扑相。

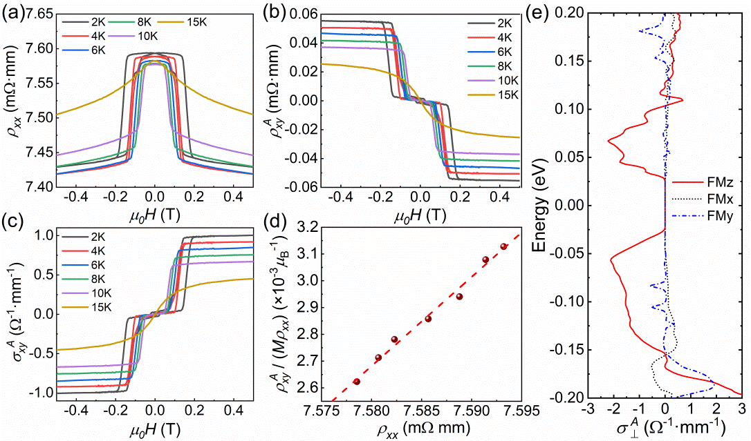
图4(a) – (d):纵向磁阻及横向反常霍尔效应测量及分析结果;(e):计算的三个铁磁磁化方向反常霍尔电导。
第三,当对具有理想晶体结构的MnSb4Te7无论进行空穴掺杂还是电子掺杂,均可将轴子绝缘态调控为外尔态,计算发现在最低导带及最高价带具有多重外尔点,并且可以被磁化方向移动,因此该体系在铁磁态很方便在轴子绝缘态及外尔态之间调控。
综上可知,该研究提供了一个可与(MnBi2Te4)(Bi2Te3)m比较的新体系,对于研究轴子绝缘态及不同磁性拓扑相之间的转换具有重要意义。郭艳峰教授课题组博士研究生宦述春、刘健鹏教授课题组博士后张世豪及沈大伟研究员课题组博士研究生江志诚为论文共同第一作者,沈大伟研究员、刘健鹏教授及郭艳峰教授为本论文共同通讯作者,上海科技大学为第一完成单位。本研究工作受到了国家自然基金“第二代量子体系的构筑和操控”重大研究计划、自然基金委面上项目、科技部重点研发计划、上海市“东方学者”计划、中科院“青促会”优秀会员、基金委ME2项目、上海光源03U线站、上海科技大学启动经费及上科大物质学院分析测试平台的支持。
论文链接:
https://journals.aps.org/prl/accepted/36076Y87O1b1657d424e34e37e76de887f9d8da28

